【应用实例】HPLC-CAD法分析二硬脂酰基磷脂酰乙醇胺
一、前言
二硬脂酰基磷脂酰乙醇胺(1,2-Distearoyl-sn-glycero-3-phosphoethanolamine,DSPE)作为一类具有两亲性特征的合成磷脂,凭借其独特的分子结构与理化性质,已成为现代纳米医药与生物材料领域的核心功能性分子之一。其分子中两条饱和硬脂酰链赋予的高疏水性、磷酸乙醇胺头基的亲水性,以及优异的化学稳定性,使其能够自组装形成脂质双层或胶束结构,为药物递送系统提供了理想的载体平台。近年来,随着纳米技术的快速发展,DSPE及其衍生物(如DSPE-PEG)在长循环脂质体、mRNA疫苗载体(如COVID-19疫苗中的脂质纳米颗粒)及靶向治疗体系中展现了不可替代的作用。
然而,DSPE的分子特性(如高疏水性、缺乏特征紫外吸收基团)及其在复杂体系中的低浓度分布,使其检测面临显著挑战。传统方法如高效液相色谱(HPLC)与紫外检测联用常因灵敏度不足而失效,而质谱技术虽具备高特异性,却受限于样品前处理复杂、基质干扰及高昂成本。此外,DSPE常与聚乙二醇(PEG)等修饰分子共价结合(如DSPE-PEG),进一步加剧了检测中分离与定量的难度,尤其是分子量分布宽泛或修饰比例不均的样品。现有检测手段在特异性、灵敏度及操作便捷性之间的平衡尚未突破,制约了对DSPE及其衍生物功能机制的深入解析。

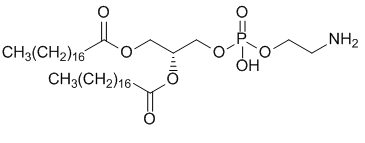
图1:二硬脂酰基磷脂酰乙醇胺的结构图
电雾式检测器(Charged Aerosol Detector, CAD)作为新型通用型分析检测技术,在非紫外吸收化合物的分析领域展现出独特的分析优势。该检测器基于气溶胶荷电原理,通过使洗脱液雾化形成带电微粒,依据微粒表面电荷变化实现化合物检测,具有检测灵敏度高(可达ng级)、动态线性范围广(跨越4个数量级)以及基质干扰小等技术特性。本研究拟构建基于高效液相色谱-电雾式检测器(HPLC-CAD)联用平台,采用配备新一代Sparkflux-2000型高灵敏CAD检测器的色谱系统,着力开发适用于二硬脂酰基磷脂酰乙醇胺的高精度定量分析方法。
2. 样品配置方法
2.1 样品二硬脂酰基磷脂酰乙醇胺
2.2 配置方法溶剂为氯仿,配置浓度为200ppm。
三、分析条件
样品浓度:200ppm二硬脂酰基磷脂酰乙醇胺
色谱柱:纳谱C18柱(150 mm×4.6mm,5um)
流动相:甲醇/0.1%三氟乙酸水,流速:1mL/min
紫外检测波长:254nm
CAD检测条件:蒸发温度(35 oC)
表1:分析条件梯度表
|
T(min) |
B%(甲醇) |
|
0 |
90 |
|
5.5 |
90 |
|
6.5 |
100 |
|
12 |
100 |
|
13 |
90 |
四、结果与讨论
4.1 紫外分析vs Sparkflux-2000-CAD分析
如图2所示,对比紫外检测和Sparkflux-2000-CAD检测结果,可见,在简单的流动相和梯度下,相较于紫外检测,CAD在二硬脂酰基磷脂酰乙醇胺(DSPE)分析中具有显著优势:一方面可有效检出无紫外吸收的化合物,另一方面对低含量成分仍能保持高灵敏度。
结果表明,电雾式检测器(CAD)是替代传统紫外检测器检测无紫外吸收和低含量成分的最佳选择之一。

图2:紫外分析与CAD分析结果对比图
五、总结
总体而言,Sparkflux-2000方法在分析二硬脂酰基磷脂酰乙醇胺时,展现出了更优的灵敏度。这一优势证明了Sparkflux-2000在医疗分析中广阔的应用潜力。
北京维科特瑞仪器有限公司
Beijing WeikeTory Instruments Co., Ltd.
地址:北京市昌平区回龙观东大街338号院昌发展AI加速中心1号楼A座二层20730
邮箱:weiketory@outlook.com
网址:weiketory.com
电话:17310602532
